Dear Students
how are you ? hope part 1 for most excepted question for engineering math's has helped you lot.
here we will discuss Most Expected 180 Engineering Math Questions for GATE 2024 ( Part 2)
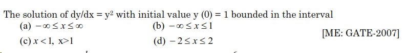
1.
Solutions : correct answer is c
8
hello students How are you , hope you will be fine , I am Dr Tarun Gehlot and I want to serve bigger part of society and world I had taught lot of students off line but with the help of Online Platforms like blogs ,I could help the more students in world specially those students who have not any resources for study and have not any guidance and assistance in their study due to some reasons here they could come free of cost and i can help them and teach them
Dear Students
how are you ? hope part 1 for most excepted question for engineering math's has helped you lot.
here we will discuss Most Expected 180 Engineering Math Questions for GATE 2024 ( Part 2)
1.
Solutions : correct answer is c
8
No comments:
Post a Comment